质量专业理论与实务(中级)F

    请考生注意,部份试卷无答案试题仅作参考,本份试卷考试时间是:60分钟,请把握好自己的考试时间,以便应对真正的考场。

请先登录才能考试!      考生登录
单项选择题(下列每小题备选答案中,只有一个符合题意的正确答案。每小题2分,共9题。)
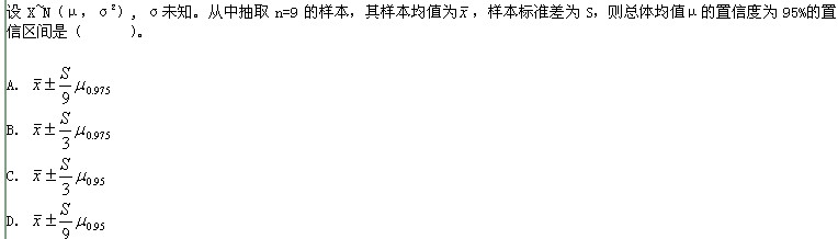
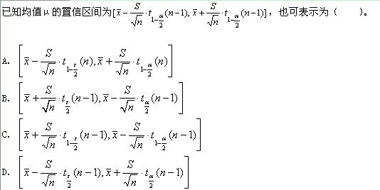
1 、

A :A
B :B
C :C
D :D
请选择答案:
2 、

A :A
B :B
C :C
D :D
请选择答案:
3 、

A :A
B :B
C :C
D :D
请选择答案:
4 、

A :A
B :B
C :C
D :D
请选择答案:
5 、

A :A
B :B
C :C
D :D
请选择答案:
6 、

 

A :A
B :B
C :C
D :D
请选择答案:
7 、

A :A
B :B
C :C
D :D
请选择答案:
8 、

泊松分布的参数λ的矩法估计是(   )

A :用方差做为λ的矩法估计
B :用均值做为λ的矩法估计
C :用标准差做为λ的矩法估计
D :用极差做为λ的矩法估计
请选择答案:
9 、

点估计和区间估计的说法正确的是(   )

A :点估计仅仅给出了参数的一个具体估计值,而区间估计用区间来估计,区间估计体现了估计的精度。
B :区间估计用区间范围来估计,而点估计给出了参数的一个具体估计值,点估计体现了估计的精度。
C :点估计通过具体的数估计了一定区间,而区间估计通过一个范围估计了区间,因此不如点估计精确。
D :点估计和区间估计是两种不同的估计方法,其精度是一样的。
请选择答案:
多项选择题(下列每小题备选答案中,有两个或两个以上符合题意的正确答案。每小题3分,共6题。)
1 、

样本众数(  )

A :样本中出现频率最高的值
B :在一组样本中可以有多个值
C :能反映数据的最大或最小值。
D :是描述样本分散程度的统计量之一。
请选择答案:
2 、

在理论上已被推导出来的,号称“三大抽样分布”的是()。

A :t分布
B :X2分布
C :F分布
D :正态分布
E :均匀分布
请选择答案:
3 、

点估计优劣的评价标准有()。

A :对称性
B :无偏性
C :有效性
D :一致性
请选择答案:
4 、

参数的矩法估计是指()。
 

A :用样本矩估计总体相应的矩。
B :用总体矩估计样本相应的矩。
C :用样本矩的函数估计总数矩相应的函数。
D :用总体矩的函数估计样本相应的矩的函数。
请选择答案:
5 、

正态均值的无偏估计有(  )

A :样本均值
B :样本中位数
C :样本众数
D :样本变异系数
请选择答案:
6 、

矩法估计是(     )

A :用总体的矩来估计样本相应的矩
B :用总体矩的函数来估计样本相应的矩的函数
C :用样本矩估计相应的总体矩
D :用样本矩的函数估计相应总体矩的函数。
请选择答案:
单选题快速到达: 123456789


多选题快速到达:123456


Baidu
map